 
        
	μCaler DNA Full Screen System Comprehensive Solution integrates methylation
sensitive restriction endonuclease (MSRE) technology with the exclusive
patented μCaler Hybrid System, aiming to achieve ultra-high sensitivity in the
synchronous detection of DNA methylation and mutation from a single sample. This fast, simple, user-friendly, and
accurate end-to-end solution is designed to better support multi-omics
research.
Feature
	
Workflow

Performance
Stable and High Cleavage Efficiency
 
 
	Figure 1. μCaler DNA Full Screen System can stably and efficiently cut the unmethylated sites across different sample types. A. Simulated samples with varying methylation levels and different initial input amounts of human genomic DNA standard (Promega, G1471); B. Clinical FFPE and cfDNA samples.
		Note: The samples were simulated DNA by using human 100% Methylated DNA standard (zymo, D5014-2) positive control and 0% Methylated DNA standard (zymo, D5014-1) negative control to mimic different methylation levels (0%, 10%, and 50%). The initial input amounts for both simulated samples with different methylation levels and clinical FFPE and cfDNA samples were 10 ng.
 
	
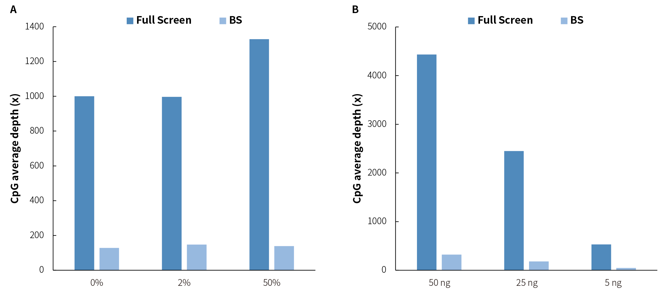
Fully Preserve Original Sequence Information and Enhance Effective Coverage Depth in Methylation Detection
 
 
	
		Figure 2. μCaler DNA Full Screen System can increase the effective coverage depth of CpG sites several times that of the BS treatment. A. Average coverage depth of 13 CpG sites in simulated samples with different methylation levels at the initial inputs of 10 ng and B. simulated samples with a methylation level of 5% at different initial input amounts. The simulated samples were processed to hybridization capture using the μCaler DNA Full Screen System Comprehensive Solution (Full Screen) and the μCaler targeted methylation capture solution (BS), respectively. The sequencing mode was Illumina® Novaseq 6000, PE150; 1 M reads pair were randomly selected for data analysis.
 
	
Accurate Quantification of Methylation Levels, Enhanced Detection Stability
 
 
	Figure 3. Consistency of detection values obtained with the μCaler DNA Full Screen System: A. Detection values compared to theoretical values for samples with different methylation levels, and B. Consistency between two measurements of one randomly selected clinical colorectal cancer tissue sample. 1 M reads pair were randomly selected for data analysis.
		Note: Traditional_BS utilized NadPrep Hybrid Capture Reagents (overnight hybridization) for capture.
 
	
Enhanced Sensitivity for Detecting Low-abundance Methylation and Ultra-low-frequency Mutation Signal
		
	
		 
 
	
		
	
Figure 4. Performance of μCaler DNA Full Screen System for synchronous detection of ultra-low-frequency mutation and low-abundance methylation. A total of 80 ng of simulated samples were analyzed using μCaler DNA Full Screen System with the μCaler Full Screen LF Custom Panel (< 5 Kb, covering 31 CpG sites) for hybrid capture. 3 Gb were randomly selected for data analysis. A. Mutation frequencies at different sites corresponded closely with the nominal frequencies of the standard [pre-libraries containing UMI, with analytical filtering criteria set to duplex consensus sequences (DCS211)]; B. Average number of unique reads supporting mutation detection (DCS211); C. Methylation levels of different simulated samples.
Effectively Differentiating Between Tumor and Healthy Population
 
 
	
		Figure 5. Performance ofμCaler DNA Full Screen System applied to cfDNA detection in clinical colorectal cancer Patients and healthy individuals. A. Methylation levels at CpG sites within the target regions; B. Z-score analysis.
Note: The initial input amount was 10 ng. T: Plasma cfDNA from clinical colorectal cancer patients, with T-1 to T-4 representing early-stage patients and T-5 representing a late-stage patient; N: Plasma cfDNA from healthy individuals.
 
	
	
Pre-ibrary Preparation Module
| #Package | Color of Tube Cap | Component | Volume 1002421 (24 rxn) | Volume 1002422 (96 rxn) | 
| Box1 | 
					 | EndRepair & A-Tailing Buffer Pro | 180 µL | 690 µL | 
| 
					 | End Repair & A-Tailing Enzyme Pro | 120 µL | 460 µL | |
| 
					 | Ligation Buffer | 750 µL | 2×1,500 µL | |
| 
					 | DNA Ligase | 65 µL | 250 µL | |
| 
					 | 2X HiFi PCR Master Pro Mix | 720 µL | 2×1,600 µL | |
| / | Nuclease Free Water | 2.5 mL | 8 mL | |
| 
					 | TE Solution | 1 mL | 4 mL | |
| Box2 | / | NadPrep SP Beads | 4 mL | 15 mL | 
	
Universal Syubby Adapter (UDI) Module
| Color of Tube Cap | Component | Volume 1003240 (24 rxn) | Volume 1003241 (96 rxn) | Volume 1003242 (96 rxn) | 
| 
					 | NadPrep Universal UDI-index Primer Mix # | 12×15 µL (Tube) | 24×25 µL (Tube) | 24×25 µL (Tube) | 
| 
					 | NadPrep Universal Stubby Adapter | 60 µL (Tube) | 230 µL (Tube) | 230 µL (Tube) | 
| 
					 | NadPrep Amplification Primer Mix II | 20 µL (Tube) | 75 µL (Tube) | 75 µL (Tube) | 
	
| Color of Tube Cap | Component | 
					Volume | 
					Volume | 
					Volume | 
					Volume | 
| 
					 | NadPrep Universal UDI-index Primer Mix # | 96×8 µL (Plate) | 96×8 µL (Plate) | 96×8 µL (Plate) | 96×8 µL (Plate) | 
| 
					 | NadPrep Universal Stubby Adapter | 260 µL (Tube) | 260 µL (Tube) | 260 µL (Tube) | 260 µL (Tube) | 
| 
					 | NadPrep Amplification Primer Mix II | 75 µL (Tube) > | 75 µL (Tube) | 75 µL (Tube) | 75 µL (Tube) | 
	
| Color of Tube Cap | Component | 
					Volume | 
					Volume | 
					Volume | 
					Volume | 
| 
					 | NadPrep Universal UDI-index Primer Mix # | 96×72 µL (Tube) | 96×72 µL (Tube) | 96×72 µL(Tube) | 96×72 µL (Tube) | 
| 
					 | NadPrep Universal Stubby Adapter | 2×1,350 µL (Tube) | 2×1,350 µL (Tube) | 2×,1350 µL (Tube) | 2×1,350 µL (Tube) | 
| 
					 | NadPrep Amplification Primer Mix II | 900 µL (Tube) | 900 µL (Tube) | 900 µL (Tube) | 900 µL (Tube) | 
	
MDI Adapter Module (for MGI)
| Color of Tube Cap | Component | Volume 1003711 (24 rxn) | Volume 1003721 (96 rxn) | Volume 1003722 (96 rxn) | Volume 1003725 (96 rxn) | Volume 1003726 (96 rxn) | 
| 
					 | NadPrep M-Index (MDI) Primer Mix # | 12×15 µL (Tube) | 24×25 µL (Tube) | 24×25 µL (Tube) | 24×25 µL (Tube) | 24×25 µL (Tube) | 
| 
					 | NadPrep M-Adapter (DI) | 60 µL (Tube) | 230 µL (Tube) | 230 µL (Tube) | 230 µL (Tube) | 230 µL (Tube) | 
	
| Color of Tube Cap | Component | 
					Volume | 
					Volume | 
					Volume | 
					Volume | 
|  | NadPrep M-Index (MDI) Primer Mix # | 96×8 µL (Plate) | 96×8 µL (Plate) | 96×8 µL (Plate) | 96×8 µL (Plate) | 
| 
					 | NadPrep M-Adapter (DI) | 260 µL (Tube) | 260 µL (Tube) | 260 µL (Tube) | 260 µL (Tube) | 
| 
					 | NadPrep M-Amplification Primer Mix (for MGI, DI) | 75 µL (Tube) | 75 µL (Tube) | 75 µL (Tube) | 75 µL (Tube) | 
	
| Color of Tube Cap | Component | 
					Volume | 
					Volume | 
					Volume | 
					Volume | 
|  | NadPrep M-Index (MDI) Primer Mix # | 96×8 µL (Plate) | 96×8 µL (Plate) | 96×8 µL (Plate) | 96×8 µL (Plate) | 
| 
					 | NadPrep M-Adapter (DI) | 2×1,350 µL (Tube) | 2×1,350 µL (Tube) | 2×1,350 µL (Tube) | 2×1,350 µL (Tube) | 
| 
					 | NadPrep M-Amplification Primer Mix (for MGI, DI) | 900 µL (Tube) | 900 µL (Tube) | 900 µL (Tube) | 900 µL >(Tube) | 
	
UMI Adapter Kit (with 10 nt Index)
	 
	 
						  
						 
						 
					
		
			
 
				 
			
					Color of Tube Cap 
				 
				
					Component 
				 
				
					Volume 
				
1103111 (24 rxn)  
				
					Volume 
				
1103121 (96 rxn)  
				
					Volume 
			
1103122 (96 rxn)  
				
				 
			
					 
				
					NadPrep Universal UDI-Index
  Primer Mix # 
				 
				
					12×15 µL 
				 
				
					24×25 µL 
				 
				
					24×25 µL 
				 
			
				 
			
					 
				
					NadPrep UMI Adapter 
				 
				
					60 µL 
				 
				
					230 µL 
				 
				
					230 µL 
				 
			
				 
		
	
					 
				
					NadPrep Amplification Primer Mix II 
				 
				
					20 µL 
				 
				
					75 µL 
				 
				
					75 µL 
				 
			
	
BMI Adapter Module (for MGI, DI)
| Color of Tube Cap | Component | Volume 1003911 (24 rxn) | Volume 1003921 (96 rxn) | Volume 1003922 (96 rxn) | Volume 1003925 (96 rxn) | Volume 1003926 (96 rxn) | 
| 
					 | NadPrep M-Index (MDI) Primer Mix # | 12×15 µL | 24×25 µL | 24×25 µL | 24×25 µL | 24×25 µL | 
| 
					 | NadPrep BMI-Adapter | 60 µL | 230 µL | 230 µL | 230 µL | 230 µL | 
	
Epi Module
| Color of Tube Cap | Component | 
					Volume | 
| 
					 | Epicut Buffer | 60 μL | 
| 
					 | Epicut Enzyme Mix | 30 μL | 
	
 
Blocker
| Color of Tube Cap | Component | 
					Volume | 
					Volume | 
| 
					 | μCaler NanoBlockers (for Illumina®) | 40 μL | 210 μL | 
	
| Color of Tube Cap | Component | Volume 1106212 (16 rxn) | 
					Volume | 
| 
					 | μCaler NanoBlockers (for MGI, DI) | 40 μL | 210 μL | 
	
	 
	 
						Volume 
						Volume 
						  
						  
						   
						260 μL 
					 
						  
						  
						/  
						/ 
		
			
 
				 
			
					# Package 
				 
				
					Color of Tube Cap 
				 
				
					Component 
				 
				
					 
				
1105202 (16 rxn) 
					
					 
			
1105201 (96 rxn) 
					
			 
			
				 
			
					Box 1 
				 
				
					 
				
					μHyb #1 
				 
				
					840 μL 
				 
				
					3×1,700 μL 
				 
			
				 
			
					 
				
					μHyb #2 
				 
				
					130 μL 
				 
				
					790 μL 
				 
			
				 
			
					 
				
					Human Cot DNA 
				 
				
					45 μL 
				 
				
					 
			
				 
			
					 
				
					μEnhancer 
				 
				
					1,300 μL 
				 
				
					5×1,600 μL 
				 
			
				 
			
					Box 2 
				 
				
					 
				
					Streptavidin Beads 
				 
				
					480 μL 
				 
				
					2.9 mL 
				 
			
				 
			
					 
				
					Wash Buffer A Pro 
				 
				
					2×5.8 mL 
				 
				
					3×23 mL 
				 
			
				 
		
	
					 
				
					Wash Buffer B 
				 
				
					2.9 mL 
				 
				
					20 mL 
				 
			
| Type | Product | Detail | #Catalog | 
| Lib Prep Module | NadPrep DNA Library Preparation Module v2, 24 rxn | 24 rxn | 1002421 | 
| NadPrep DNA Library Preparation Module v2, 96 rxn | 96 rxn | 1002422 | |
| Universal Stubby Adapter (UDI) Module | NadPrep Universal Stubby Adapter (UDI) Module Set A1, 24 rxn | Index 1-12 | 1003240 | 
| NadPrep Universal Stubby Adapter (UDI) Module Set B1, 96 rxn | Index 1-24 | 1003241 | |
| NadPrep Universal Stubby Adapter (UDI) Module Set B2, 96 rxn | Index
  25-48 | 1003242 | |
| NadPrep Universal Stubby Adapter (UDI) Module Set E1, 96 rxn | Index
  1-96 | 1003251 | |
| NadPrep Universal Stubby Adapter (UDI) Module Set E2, 96 rxn | Index
  97-192 | 1003252 | |
| NadPrep Universal Stubby Adapter (UDI) Module Set E3, 96 rxn | Index
  193-288 | 1003253 | |
| NadPrep Universal Stubby Adapter (UDI) Module Set E4, 96 rxn | Index
  289-384 | 1003254 | |
| NadPrep Universal Stubby Adapter (UDI) Module Set F1, 1152 rxn | Index
  1-96 | 1003261 | |
| NadPrep Universal Stubby Adapter (UDI) Module Set F2, 1152 rxn | Index
  97-192 | 1003262 | |
| NadPrep Universal Stubby Adapter (UDI) Module Set F3, 1152 rxn | Index
  193-288 | 1003263 | |
| NadPrep Universal Stubby Adapter (UDI) Module Set F4, 1152 rxn | Index
  289-384 | 1003264 | |
| MDI Adapter Module (for MGI) | NadPPrep Universal Adapter (MDI) Module Set A1 (for MGI), 24 rxn | MDI 1-12 | 1003711 | 
| NadPrep Universal Adapter (MDI) Module Set B1 (for MGI), 96 rxn | MDI 1-24 | 1003721 | |
| NadPrep Universal Adapter (MDI) Module Set B2 (for MGI), 96 rxn | MDI 25-48 | 1003722 | |
| NadPrep Universal Adapter (MDI) Module Set B3 (for MGI), 96 rxn | MDI 49-72 | 1003725 | |
| NadPrep Universal Adapter (MDI) Module Set B4 (for MGI), 96 rxn | MDI 73-96 | 1003726 | |
| NadPrep Universal Adapter (MDI) Module Set E1 (for MGI), 96 rxn | MDI 1-96 | 1003751 | |
| NadPrep Universal Adapter (MDI) Module Set E2 (for MGI), 96 rxn | MDI 97-192 | 1003752 | |
| NadPrep Universal Adapter (MDI) Module Set E3 (for MGI), 96 rxn | MDI 193-288 | 1003753 | |
| NadPrep Universal Adapter (MDI) Module Set E4 (for MGI), 96 rxn | MDI 289-384 | 1003754 | |
| NadPrep Universal Adapter (MDI) Module Set F1 (for MGI), 1152 rxn | MDI 1-96 | 1003761 | |
| NadPrep Universal Adapter (MDI) Module Set F2 (for MGI), 1152 rxn | MDI 97-192 | 1003762 | |
| NadPrep Universal Adapter (MDI) Module Set F3 (for MGI), 1152 rxn | MDI 193-288 | 1003763 | |
| NadPrep Universal Adapter (MDI) Module Set F4 (for MGI), 1152 rxn | MDI 289-384 | 1003764 | |
| UMI/BMI Adapter Module | |||
| NadPrep BMI Adapter (MDI) Module Set A1 (for MGI), 24 rxn | MDI 1-12 | 1003911 | |
| NadPrep BMI Adapter (MDI) Module Set B1 (for MGI), 96 rxn | MDI 1-24 | 1003921 | |
| NadPrep BMI Adapter (MDI) Module Set B2 (for MGI), 96 rxn | MDI 25-48 | 1003922 | |
| NadPrep BMI Adapter (MDI) Module Set B3 (for MGI), 96 rxn | MDI 49-72 | 1003925 | |
| NadPrep BMI Adapter (MDI) Module Set B4 (for MGI), 96 rxn | MDI 73-96 | 1003926 | |
| NadPrep UMI Adapter Kit Set A1 (with 10 nt Index), 24 rxn | 1-12 | 1103111 | |
| NadPrep UMI Adapter Kit Set B1 (with 10 nt Index), 96 rxn | 1-24 | 1103121 | |
| NadPrep UMI Adapter Kit Set B2 (with 10 nt Index), 96 rxn | 25-48 | 1103122 | |
| Epi Module | NadPrep Epicut Module, 24 rxn | 24 rxn | 1002811 | 
| Lambda DNA Control | Unmethylated Lambda DNA Control, 30 ng | 30 ng | 1005501 | 
| Hybrid Capture Reagents | μCaler Hybrid Capture Reagents v2, 16 rxn | 16 rxn | 1105202 | 
| μCaler Hybrid Capture Reagents v2, 96 rxn | 96 rxn | 1105201 | |
| Blocker | μCaler NanoBlockers (for Illumina®), 16 rxn | 16 rxn | 1106102 | 
| μCaler NanoBlockers (for Illumina®), 96 rxn | 96 rxn | 1106101 | |
| μCaler NanoBlockers (for MGI, DI), 16 rxn | 16 rxn | 1106212 | |
| μCaler NanoBlockers (for MGI, DI), 96 rxn | 96 rxn | 1106211 | 
For research use only. Not for use in diagnostic procedures.
 
                                 
                                 
                                 
                                 
                                 
                                Nanodigmbio will contact you within 1 day.
If there are any problems, please contact us by 400 8717 699 / support@njnad.com