Feature
● Streamlined System: Only 1 hybridization premix + 1 wash buffer are required, significantly reducing reagent preparation steps, minimizing operational errors, and improving automation compatibility.
● Unified Conditions: Only 2 incubation temperatures are involved, avoiding frequent temperature adjustments and making the workflow smoother and easier to scale.
● Optimized Workflow: A workflow design of 2 beads washes + 3 heated washes + 1 ethanol wash, greatly improving exper-imental efficiency while maintaining reliable performance.
● Flexible Compatibility: Supports 1-16 hr hybridization time and 1-12-plex library pooling, allowing flexible adjustment according to experimental needs to achieve optimal capture performance.
● Stable and Reproducible: A highly standardized workflow reduces dependence on operator experience, enabling different users to obtain stable and consistent capture results.
● Comprehensive Improvement: Effectively improves captured library yield, target region coverage, and coverage unifor-mity, while reducing GC bias, minimizing rework, and lowering sequencing costs.
Performance
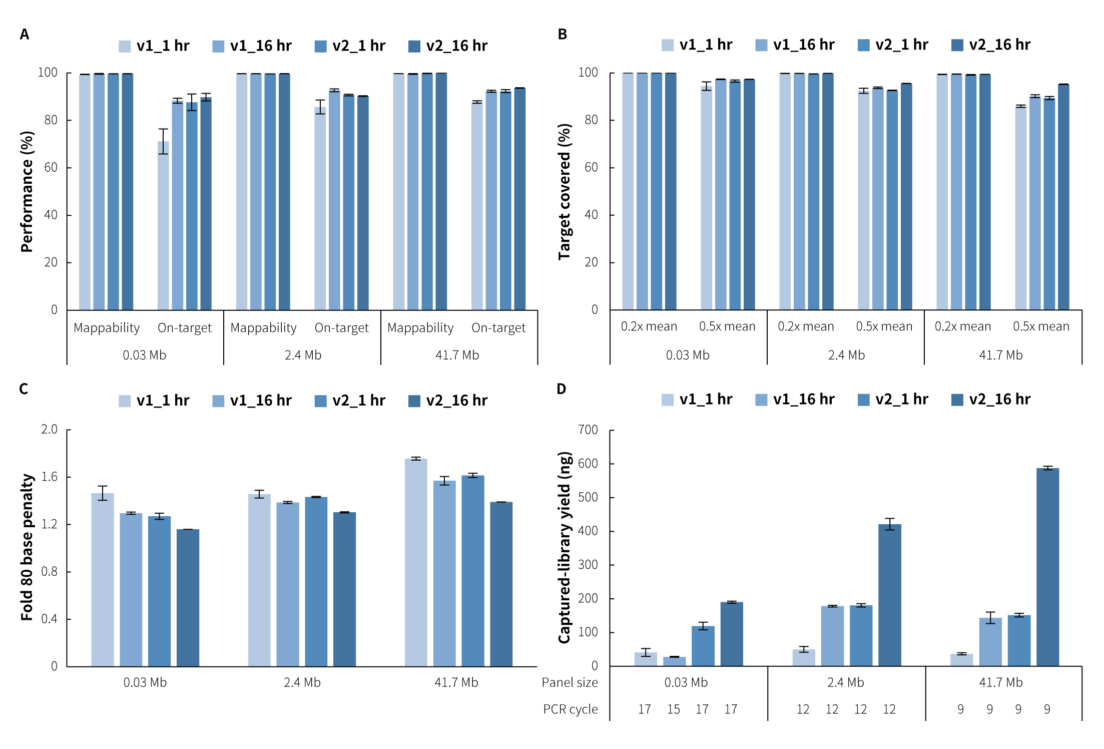
Uncompromising Multi-dimensional Capture Performance: ES v2 1_hr Rapid Hybrid vs. ES v1 16_hr Overnight Hybrid
Excellent Capture Stability Across Panels of Different Sizes
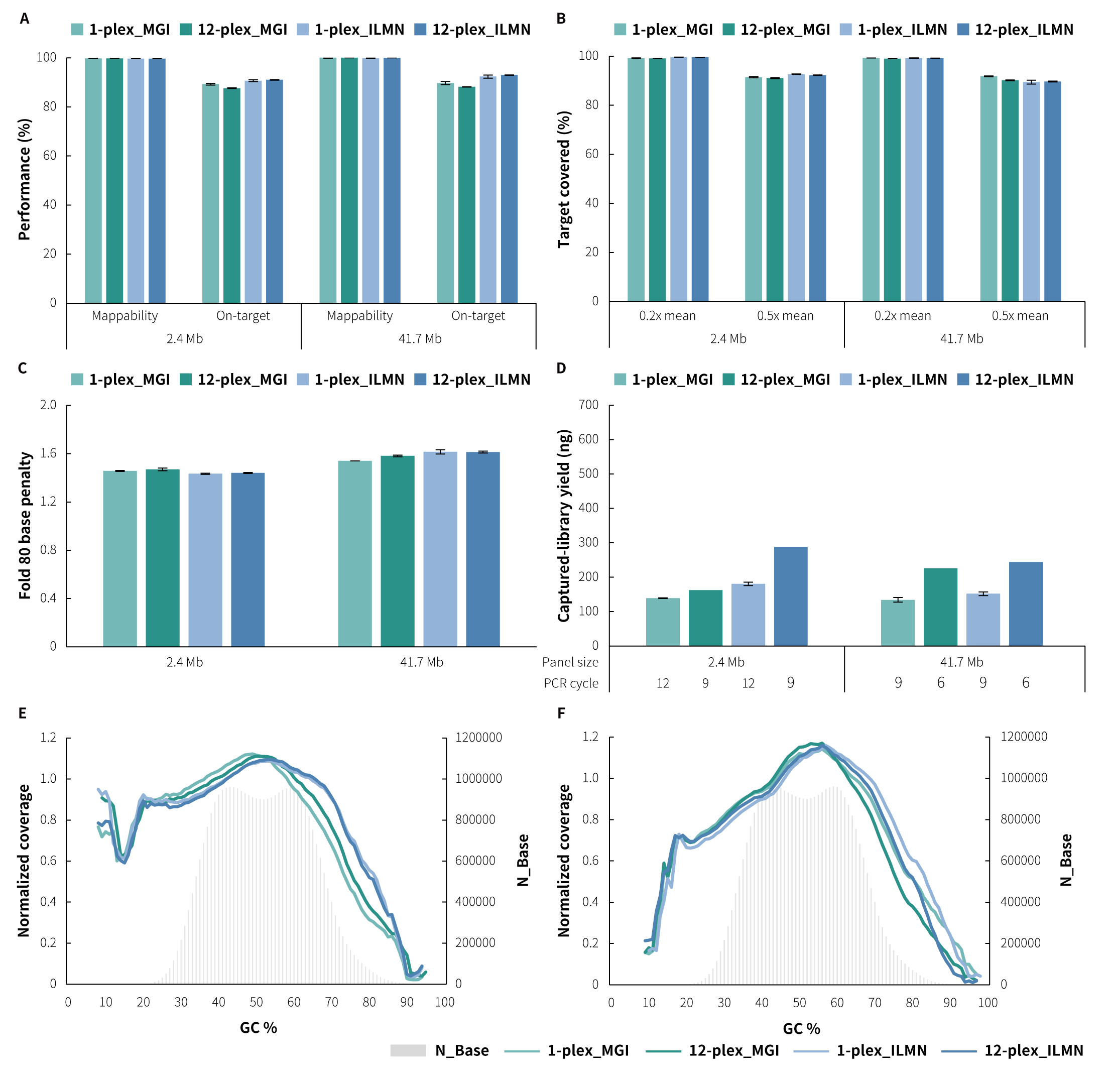
Support for Multiplex Library Hybridization Across Different Sequencing Platforms
Robust Detection of Multiple Variant Types
| Package | Color Of Tube Cap | Component |
Volume 1005422 (16 rxn) |
Volume 1005421 (96 rxn) |
| Box 1 |
|
ES Hyb Mix | 290 μL | 2×1,750 μL |
|
|
Human Cot DNA | 110 μL | 650 μL | |
|
|
Sealing Oil | 250 μL | 1,500 μL | |
| Box 2 |
or / |
Streptavidin Beads II | 950 μL | 5.7 mL |
|
/ |
ES Wash Buffer II | 7.5 mL | 3×30 mL |
For research use only. Not for use in diagnostic procedures.
|
Product |
Catalog |
|
NadPrep ES Hybrid Capture Reagents v2, 16 rxn |
1005422 |
|
NadPrep ES Hybrid Capture Reagents v2, 96 rxn |
1005421 |
For research use only. Not for use in diagnostic procedures.
Nanodigmbio will contact you within 1 day.
If there are any problems, please contact us by 400 8717 699 / support@njnad.com